重磅消息!当地时间12月10日,美国天然产品协会(NPA)官网在毫无预告的情况下,一纸通告正式宣布:美国食品药品监督管理局(FDA)已明确推翻2022年的禁售决定,

这意味着曾被奉为“抗衰圣品”,又因NMN的“身份归属之争”——到底该归为“人人可及的膳食补充剂”、还是“受专利保护、仅用于疾病治疗的处方药”跌落的NMN,正式重返美国主流补剂市场,NMN在美国的“合法身份之争”终于尘埃落定
而这一裁决,也让“NMN之父”大卫・辛克莱及其创办的MetroBiotech公司,试图借专利药物MIB-626将NMN“药品化”以独占抗衰市场的图谋彻底落空,为这场持续近4年的商业与监管博弈画上了最终句点。

其实早在今年9月29日,美国补充剂协会(NPA)就迫不及待地宣布,跟FDA的官司终于尘埃落定,NMN禁令从“暂缓”变成了“彻底废除”,只是受美国政府停摆影响,官方公示被推迟至12月
而在NPA将这一私下消息透露的第一时间,时光派就已发布了深度追踪报道——我们捕捉到了FDA私下确认的信号,拆解了NMN禁令解除的核心逻辑、辛克莱的垄断图谋,以及行业后续可能的变局,当时的分析也与如今FDA的正式官宣完全契合。

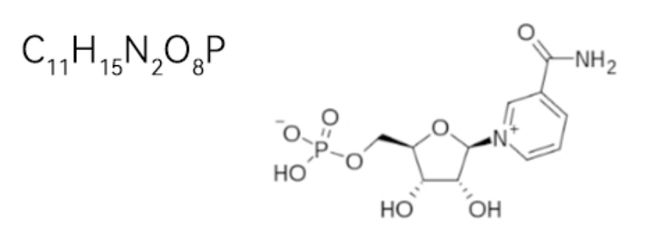
NAD+(烟酰胺腺嘌呤二核苷酸)作为人体细胞内能量代谢、DNA损伤修复、细胞衰老调控的核心辅酶,研究表明,随着年龄的增长或是在早衰状态下,不管是线虫、果蝇、小鼠还是人类,体内的NAD+水平都在逐渐下降[1],导致线粒体功能障碍和细胞衰老加速。
NMN(β-烟酰胺单核苷酸)则是NAD+的直接合成前体,能绕过中间代谢步骤、高效提升细胞内NAD+水平,这一作用最早由哈佛教授大卫・辛克莱团队在《Cell》中证实:补充NMN可让22月龄(相当于人类60岁)小鼠的线粒体功能、肌肉健康恢复至6月龄(人类20岁)水平[2]。

此前,仅1年时间内,来自中美日三国的科学家们就相继公布NMN人体临床试验,证实NMN在没有表现出任何毒副作用的同时,有效增加了血液中的NAD+水平,并促进肌肉的修复与重塑、提高了肌肉中胰岛素的敏感性[3-5]。

抗衰教父的倾情推荐、扎实的科研结论,叠加大众对“延缓衰老”的强烈需求,让NMN在抗衰市场彻底“破圈”:短短几年时间,市场上各类NMN产品扎堆涌现,从基础胶囊到“复合抗衰配方”层出不穷,单瓶售价也从最初的几百元水涨船高至数千元不等,甚至一度出现“溢价抢购”的热潮。
而这份“全民热捧+商业爆发”的声量,也让NMN成了后续监管博弈的核心焦点——在众多抗衰补充剂里,它既手握权威科研背书、又占据了极高的市场份额,自然成了后续“禁售风波”的“重点关注对象”。
而这场风波的核心矛盾,恰好与“NMN之父”大卫・辛克莱的商业布局深度绑定


提到这场风波,就不得不提到美国哈佛大学教授,江湖人称“NMN九游娱乐之父”的大卫·辛克莱。
作为NMN抗衰价值的关键推动者,辛克莱教授早在2013年就通过《Cell》发文,证实补充NMN可提升小鼠NAD+水平,让老年小鼠在线粒体稳态、肌肉健康等指标上回归年轻状态,直接将NMN推向抗衰研究焦点[2]。

而这位“非典型”教授,不光在实验室搞研究,还写书、做播客、上节目,甚至在社交媒体上亲自下场科普,硬是把自己和NMN一齐炒成了抗衰老界的大网红
他的书《Lifespan:Why We Age—and Why We Don’t Have To》(《可不可以不变老》)更是卖得满天飞,里面大谈特谈如何通过科学手段延长寿命,甚至他在书中谈到自己80岁老爸吃了NMN后的神奇表现。当然他提到自己也是NMN的粉丝,公开说自己每天吃1克NMN,现在的他看起来他皮肤光滑、精神抖擞,如果派派不说,你敢相信他已经56岁了吗?

但你知道吗?这位被称作“抗衰教父”的学者,却在2021年亲手埋下了一颗“自相矛盾”的种子,由此掀起了一场持续4年的NMN禁售风波。
所有的故事还要从4年前说起。2021年12月,辛克莱团队掌舵的NAD+前体公司MetroBiotech给FDA写了一封信:要求全面下架市面上的NMN补剂。

信中明确主张:公司研发的MIB-626(一种特殊形式的NMN)已被授权作为新药开展研究,根据section 201(ff) 条款规定——补剂中不得添加药物而MIB-626获得FDA承认是一种药物,那么是药物的NMN就不能再作为补剂销售,FDA应该下架这些NMN补剂

图注:辛克莱创办的NAD+前体药物公司MetroBiotech给FDA写的信,要求下架市面上的NMN补剂。
这一操作并非无迹可寻:此前N-乙酰半胱氨酸(NAC)就因被FDA认定为“药物”,导致亚马逊等平台全面下架相关补剂,MetroBiotech显然想复制这一路径——通过将MIB-626划归药物,扫清所有NMN补剂竞争对手,最终实现对NMN抗衰市场的独家垄断。
辛克莱虽未直接出现在信函署名中,但其作为公司核心决策者,这一商业布局与其多年来“不带货却持续安利NMN”的行为形成了鲜明呼应
说到FDA,其实FDA对于NMN补剂长期处于一种微妙又暧昧的态度,在美国,补剂被归类为特殊食品,如果没有证据说明某种补剂不安全,那么它就被自动认为是安全的。因此各类补剂上市之前甚至不需要通知FDA。
当然,这种“不需要通知”的自由也是有限度的,它属于1994年《膳食补充剂健康与教育法》(Dietary Supplement Health and Education Act,坚称DSHEA)发布前的老牌补剂,而近年新贵NMN补剂自然不在该列表里。
按理说,要想获得合法身份,NMN补剂需要在上市前75天向FDA提交NDI(new dietary ingredient,新膳食成分)通知书,但令人不解的是,面对长期无证经营、安全性存疑的NMN补剂,FDA没有采取措施,但是当各个NMN提交NDI时,FDA又以“安全性”或其他原因屡屡驳回。
直到2022年5月,FDA的态度才有所松动,首次对NMN补剂给予了NDI认证(PS:该认证只证明补剂的安全性,并不保证是否有效)。
当我们以为FDA给NMN补剂确定“身份证”后不会有什么变动时,FDA却给NMN补剂行业来了一记迎头重锤。
2022年11月,FDA首次承认NMN的药物身份,禁止将其作为补剂销售,这一纸禁令,直接给整个NMN补剂行业判了“死刑”
次年2月,Amazon等平台纷纷下架产品;3月,FDA再次在公开信中重申“NMN不能作为补剂合法销售”的观点,态度非常坚决。也是这一年,大卫·辛克莱创立的抗衰公司MetroBiotech开展了新的NMN临床,测试MIB-626与高强度多维运动联用的效果,形势可谓一片叫好。
一边是MIB-626的数个临床试验都顺利开展,一些还取得了喜人的成果,一边是热销了10几年的NMN补剂,却在MIB-626诞生后安全性屡屡受到质疑。真是司马昭之心,路人皆知。

作为全美最大天然产品组织,NPA率先扛起“维权大旗”:2023年3月提交公民请愿书,反驳FDA“误读法规”,要求确认NMN未被排除在膳食补充剂定义外,或承诺对销售行使执法裁量权。

在确认在FDA对请愿书无实质回应后,2024年8月,NPA一纸诉状递交华盛顿特区地方法院,直接把FDA给告了,控诉其决策“无法律依据、不透明”,要求法院命令FDA停止对NMN的 违法追溯执法,强调NMN早在2017年就作为补剂销售,早于药物研究。期间还联合行业企业提供销售数据、安全报告,证明NMN作为补剂的合理性。

2025年9月29日,FDA私下给NPA递了信——确认β-NMN可以合法作为膳食补充剂销售。只可惜赶上美国政府停摆,官网更新的流程被卡住,这颗“定心丸”只能先攥在NPA手里。

等到12月10日政府停摆结束,NPA直接在官网甩出了公告:美国食品药品监督管理局(FDA)已明确推翻2022年的禁售决定,确认β-烟酰胺单核苷酸(NMN)可作为膳食补充剂合法销售。——近四年的禁令、近两年的拉扯,终于在这一纸公告里落了地,让NMN补剂行业迎来正式“解冻”。

读到这,亲爱的读者朋友们或许已经明白,这场布局的核心逻辑,是想将大众可及的NMN补剂,转化为自家MIB-626的专利药物——毕竟一旦成药,单份价格有望达到普通补剂的数十倍,借此掌握抗衰赛道的市场主导权。
只是这场持续四年的商业规划,最终随着NPA的持续申诉、FDA的态度反转而未能落地,垄断市场的预期也随之落空。
回头看这四年的博弈,本质是一场围绕NMN身份的角力:辛克莱团队推动MIB-626药品化的同时,也在界定NMN的市场属性;FDA在药企专利权益与补剂行业生计之间反复权衡;而NPA则依据《膳食补充剂法》持续主张NMN的补剂身份,最终推动了监管态度的调整。
这场以“科研应用”为起点的市场争议,也成了抗衰领域商业与规则博弈的典型案例。
作为NMN在国内最早的跟踪者与深度记录者,时光派见证了NMN从科研热点到监管博弈的全过程,并且实时跟进最新情况。

最开始,我们先拆解它作为NAD+前体的抗衰底层逻辑,见证着NMN补剂在国内市场从无到有。并敏锐察觉到MIB-626临床实验发展与FDA禁售NMN补剂背后暗藏着的商业布局,对其进行了客观详实的报道。
等事件发酵起来,不管是2022年FDA突然禁售NMN补剂,还是2024年国内海关拦停NMN的慌神时刻,我们一边拆解监管博弈里的法规漏洞、澄清“禁售是身份争议而非安全问题”,一边在用户“抗衰断档”的迷茫里,继续挖掘如Sirtuins激活剂等更多抗衰潜力后备军。
如今FDA官宣NMN合法回归补剂市场,我们第一时间回首把四年博弈的全貌串了起来——从辛克莱的垄断梦碎,到FDA纠正法规误读,这一路的跟踪,都稳稳锚在“帮大家科学抗衰”的初心上。
当然,这出持续四年的风波远没到彻底落幕的时候,戏散场后的市场余震,已经在行业里悄悄冒头。
对此次NMN在美国获得市场合法身份,一位非常接近消息源的行业资深人士向我们透露NMN回归膳食补充剂尘埃落定,对推广NMN平民化,健康平权与延长人类健康寿命意义重大,但同时,近期业内也在疯传,有关监管部门或将对包括NMN在内的所有获得合法资质的成分出台限制措施,这意味整个跨境保健行业或将迎来重大变革。后续时光派也将密切关注相关新闻动态,第一时间做客观报道。
基于这些年对NMN行业的全程追踪,时光派不仅是报道者,更是沉淀了深度认知的分析者,因此我们清晰地看到,此次FDA定调,虽开启市场新篇章,但真正的市场机遇,只属于手握“合规钥匙”的先行者
声明 - 本文内容仅用于科普知识分享与抗衰资讯传递,不构成对任何产品、技术或观点的推荐、背书或功效证明。文内提及效果仅指成分特性,非疾病治疗功能。涉及健康、医疗、科技应用等相关内容仅供参考,医疗相关请寻求专业医疗机构并遵医嘱,本文不做任何医疗建议。如欲转载本文,请与本公众号联系授权与转载规范。
特别声明:以上内容(如有图片或视频亦包括在内)为自媒体平台“网易号”用户上传并发布,本平台仅提供信息存储服务。
画面公开!菲方人员挥舞约20公分长刀威胁中方海警,专家:菲已开始用“武装渔民”手段碰瓷,加强对华污名化叙事
马斯克:太阳是巨大免费聚变反应堆,在地球上造小型聚变反应堆是经济上浪费【附可控核聚变产业分析】
狼狈的4-4!曼联2次险遭读秒绝杀+2100万门神救主 阿莫林变阵失败
董明珠成异类,行业在铜改铝,她却说格力研究铝的技术多年,还没达到铜的同等技术保障
《人类一败涂地》全球销量正式突破5800万套,以惊人的成绩再次刷新纪录!